논문 요약
1. Paper Bibliography
논문 제목
- BasicVSR++: Improving video super-resolution with enhanced propagation and alignment
저자
- Chan et al.
출판 정보 / 학술대회 발표 정보
- arXiv preprint arXiv:2104.13371 (2021) / accepted to CVPR 2022
년도
- 2022
2. Problems & Motivations
BasicVSR

- 저자는 이전 논문인 [2]에서 VSR의 파이프라인을 Propagation, Alignment, Aggregation, Upsampling으로 요약 정리하였고 이를 기반으로한 BasicVSR 네트워크를 제시하였다
- BasicVSR에서는 bidirectional propagation을 사용해 비디오 전체에서 정보를 얻었으며 optical flow를 사용해 feature warping을 하였다
- 하지만 이는 기본적인 디자인이기 때문에 정보를 얻는데 한계가 있었다
ex) fine detail, occluded and complex regions
[2] Kelvin C.K. Chan, Xintao Wang, Ke Yu, Chao Dong, and Chen Change Loy. BasicVSR: The search for essential components in video super-resolution and beyond. In CVPR, 2021.
[3] Kelvin C.K. Chan, Xintao Wang, Ke Yu, Chao Dong, and Chen Change Loy. Understanding deformable alignment in video super-resolution. In AAAI, 2021.
3. Proposed Solutions
논문에서 제안하는 해결책들 정리
3.1 Second-Order Grid Propagation

1) Grid Propagation: Propagation을 반복
- 중간 features(현재)는 앞, 뒤로 다른 frames의 정보를 재방문하여 feature refinement을 한다
- 이전에는 features를 단 한번만 propagate한 반면, grid propagation은 전체 시퀀스에서 반복적으로 정보를 추출하여 features의 표현력을 향상시킨다
2) Second-order connection
- 정보들이 더 다양한 spatiotemporal location에서 모일 수 있으며 robustness를 강화하여 occluded, fine regions를 향상시킨다
- 위 두 방법을 합쳐서 Second-order grid propagation이라 한다
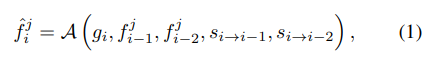
- 가령 x_i가 image input이면 여러개의 residual blocks를 통해 feature g_i를 추출하게 된다. f_j_i는 j번째 propagation branch에서 계산하는 feature이다.
- feature f_j_i를 계산하기 위해 먼저 f_j_i-1과 f_j_i-2를 flow-guided deformable alignment를 통해 align한다.
- 그 다음 features는 residual blocks를 따라 concat된다


3.2 Flow-Guided Deformable Alignment

- Align에 deformable convolution을 사용한 VSR은 이전에도 있었는데[33, 35] 학습이 어렵고 불안정해서 offset overflow와 최종 성능 감소라는 문제를 발생시키기도 했다
- Offset diversity의 장점을 얻으며 불안정성을 극복하기 위해 저자는 optical flow를 deformable alignment의 가이드로 사용하는 법을 제시하였다. (deformable alignment와 flow-based alignment는 큰 연관성이 있다는 것에서 모티브[3])
- i-th timestep에서 i-th LR 이미지에서 얻은 feature g_i, 이전 timestep에서 얻은 feature f_i-1, optical flow s_i->i-1가 주어진다
- 먼저 f_i-1과 s_i->i-1을 warp한다

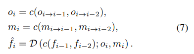
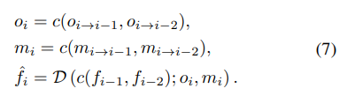
- 3에서 warp된 features ^f_i-1은 DCN offsets o_i->i-1을과 modulation masks m_i->i-1을 계산하는데 사용된다. DCN offsets를 바로 계산하는 것에 비해 optical flow의 residue를 계산하는 것이다

- 마지막으로 DCN은 warp되지 않은 feature f_i_1에 적용돼 최종 i-th timestep features ^f_i를 만든다

- 위 식은 single feature만 적용되므로 second-order propagation에는 적용할 수 없다. 위 과정을 2번 반복하는 방법이 있으나 이는 컴퓨팅을 2배로 늘리고 나눠서 align하는 것은 features의 정보를 낭비한다
- 그러므로 두 features를 동시에 align한다. Warp한 features 와 flow를 concat하고 offset을 계산한다


[3] Kelvin C.K. Chan, Xintao Wang, Ke Yu, Chao Dong, and Chen Change Loy. Understanding deformable alignment in video super-resolution. In AAAI, 2021.
[33] Hua Wang, Dewei Su, Longcun Jin, and Chuangchuang Liu. Deformable non-local network for video super-resolution. IEEE Access, 2019.
[35] Xintao Wang, Kelvin C.K. Chan, Ke Yu, Chao Dong, and Chen Change Loy. EDVR: Video restoration with enhanced deformable convolutional networks. In CVPRW, 2019.
4. 입력의 형태
- patch size of input frames: 64 x 64
5. 시간적 정보 모델링 프레임워크
기본 프레임워크 (2D CNN, 3D CNN, RNN, etc)
- RNN
구조에 기여한 바가 있다면?
- Second-orde Grid Propagation으로 여러 시점에서 정보를 얻을 수 있는 RNN 구조 제시. Fine detail을 얻을 수 있고 occlusion, complex region에 강하다
6. 프레임 정렬 방식
Implicit (암시적) or Explicit (명시적)
- Explicit
추가 설명
- Optical flow를 구하고 deformable convolution에 이용
7. 업샘플링 방식
- PixelShuffle
8. 그 외
모델 파라미터 개수
- 6.4M
학습 데이터
- REDS, Vimeo-90K
테스트 데이터
Vid4, REDS4, UDM10, Vimeo-90K-T
- 4x downsampling using two degradations - Bicubic(BI), Blur Downsampling(BD)




논문 분석
1. 앞서 정리한 논문들에 대한 비평들 중 해당 논문에서 해결된 바가 있다면 정리
-
2. 해당 논문에 대한 비평(Critique)
1)
2)
3)
Google Scholar Link
https://scholar.google.co.kr/scholar?hl=ko&as_sdt=0%2C5&q=basicvsr%2B%2B&btnG=
Google 학술 검색
How to efficiently utilize the temporal features is crucial, yet challenging, for video restoration. The temporal features usually contain various noisy and uncorrelated information, and they …
scholar.google.co.kr
GitHub
https://github.com/ckkelvinchan/BasicVSR_PlusPlus
GitHub - ckkelvinchan/BasicVSR_PlusPlus: Official repository of "BasicVSR++: Improving Video Super-Resolution with Enhanced Prop
Official repository of "BasicVSR++: Improving Video Super-Resolution with Enhanced Propagation and Alignment" - GitHub - ckkelvinchan/BasicVSR_PlusPlus: Official repository of "Basic...
github.com
댓글