1. Paper Bibliography
논문 제목
- Revisiting Temporal Alignment for Video Restoration
저자
- Zhou et al.
출판 정보 / 학술대회 발표 정보
- Proceedings of the IEEE/CVF Conference on Computer Vision and Pattern Recognition. 2022.
년도
- 2022
2. Problems & Motivations
Existing alignment methods

Video restoration tasks에서 Long-range temporal alignment는 중요하지만 어려운 문제이다. 최근 long-range alignment를 여러 sub-alignment로 나누어 처리하여 점진적으로 발전시켜나가는 방법들이 제시되었다. 이러한 방법은 인근 프레임과의 의존성을 반영할 수 있었지만 에러가 계속 축적되는 문제를 가지고 있기도 하다.
i) independent alignment
- frame-to-frame alignment. central frame과 neighboring frame을 각각 alignment한다. 두 프레임간의 연관성만 고려하게 된다
ii) progressive alignment
- long-range alignment를 여러 sub-alignments로 나눠서 recurrent한 방법으로 처리하며 점진적으로 발전한다. 이러한 chain-rule-based propagation은 이전 단계에서 발생한 잘못된(misalignment) 정보가 계속 전달되어 에러가 축적된다.
iii) iterative alignment (논문의 방법)
- 점진적으로 sub-alignments를 공유하며 refine한다
Existing aggregation methods
여러 프레임들의 디테일은 유지하고 에러는 없애서 모으는 Aggregation역시 중요한 과정이다. 지금까지의 restoration systems는 sequential convolutions를 사용하여 바로 합치거나 spatial-temporal한 적응형 aggregation방법들을 사용한다(attention). 하지만 이는 모두 learned parameters에 기반하며 특정 도메인에 오버피팅될 위험성이 존재한다. 본 논문에서는 non-parametric re-weighting module을 제시한다.
3. Method
Overview

목표는 2N+1개의 low-quality images로부터 high-quality images를 만드는 것
Fig 3.과 같은 순서로 제시된다
1. Input frames는 strided convolution으로 downsample되어 들어가거나(deblurring, denoising) 그대로 들어간다(SR)
2. 그 다음 제시한 IAM을 통해 align 한다
3. adaptive re-weighting module을 통해 aligned된 features를 합친다
4. original input의 residual을 더해서 (SR이라면 upsample한것) 완성한다
Feature Extraction

먼저 RGB frame $I^{lq}_k$를 고차원의 피처맵 $F_k$로 만들어야 한다. Deblurring, Denoising의 경우 먼저 2개의 convolution(stride=2)로 feature의 resolution을 downsample하며 SR은 크기를 유지한다. 그 다음 2개의 convolution을 통해 input의 pyramid representation을 얻는다. 마지막으로 하나의 convolution을 통해 합친다.
Temporal Alignment
Iterative Alignment

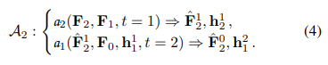
1. 먼저 $A_1$ alignment를 진행한다. $A_1$은 sub-alignment $a_1$로 구성되어 있다. $a_1$은 aligned result \hat{F^1_0}와 estimated motion field $h^1_1$를 만든다

2. 그 다음 $A_2$ alignment를 진행한다. $A_2$는 2개의 sub-alignment $a_2$와 $a_1$로 구성되어 있다. 이 때 $a_1$는 $A_1$에서 나온적이 있으므로 이전 결과인 $h^1_1$를 가지고 initialize한 뒤 refine할 수 있다

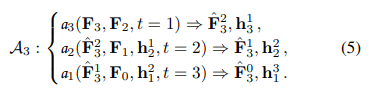
3. $A_3$은 3개의 sub-alignment $a_3$, $a_2$, $a_1$로 구성되어 있으며 이 중 $a_2$, $a_1$는 최소 2번 최적화의 과정을 거쳤다고 할 수 있다

이러한 방식은 2가지 메리트가 있다
1. Sub-alignments는 반복적인 refinements를 통해 더 정확해진다
2. Sub-alignments는 이전에 align한 features뿐 만 아니라 pre-estimated motion field의 영향도 받는다
이 방법은 large motion에 큰 효과를 보인다
Iterative Alignment

위 알고리즘은 N(N+1)번 계산해야 한다. 그렇기 때문에 컴퓨팅 효율성을 고려해야 한다.
1. 이전 방법들은 여러 스케일을 다루기 위해 pyramid alignment scheme을 많이 사용했다. 하지만 본 논문에서는 이전에 feature extraction 단계에서 multi-scale fusion을 채택했기 때문에 single-scale alignment를 사용한다
2. compact한 residual blocks를 사용해 오버헤드를 줄였다
Adaptive Re-weighting

Align한 frame들을 잘 합치는 것이 중요하다. Aligned frames의 spatially-adaptive importance를 평가하는 non-parametric re-weighting module 제시
Accuracy-Based Re-weighting
aligned frame의 정확도를 측정한다. $(x, y)$주변 3ㅌ3 patch에 대한 cosine similarity를 계산한다

그 다음 softmax를 적용해 pixel-wise weights를 구한다

마지막으로 3x3 patch에 대해 feature vectors를 합치며 re-weighted result를 얻게 된다

Consistency-Based Re-weighting
먼저 aligned neighboring frames의 평균을 계산한다. k번째 aligned frame과 다른 프레임들과의 consistency를 계산한다

그 다음 accuracy-based re-weighted feature과 consistency map을 곱한다

refined aligned feature는 reconstruction module로 들어가 high-quality결과물을 만든다
4. Experiments
Datasets
Video Super-Resolution
- Vimeo-90K: 64612 training, 7840 testing, 7-frame sequences with resolution 448 × 256
- REDS: 266 training, 4 testing, 100-frame sequences with resolution 1280 × 720
- Vid4: 4 testing video clips
Video Deblurring
- Video deblurring dataset (VDB): 61 training and 10 testing video pairs. Each pair contains a blurry and sharp videos.
Video Denoising
- DAVIS: 87 training and 30 testing 540p videos
- Set8: for testing
Results
Video Super-Resolution




Video Deblurring


Video Denoising


댓글